O Governo do Estado definiu o reajuste salarial para o magistério, Corpo de Bombeiros, Polícia Militar, Polícia Civil e Polícia Penal. Além disso, incorporou percentual das Bolsas Desempenho dessas categorias. A medida provisória com as mudanças, que já estão em vigor, foi assinada pelo governador João Azevêdo e publicada na edição deste sábado (14) do Diário Oficial do Estado (DOE).
Magistério
Para os professores, a publicação detalha que o reajuste será de 14,94%, seguindo o que foi determinado pelo Piso Nacional. O pagamento terá data retroativa a 1º de janeiro. A Bolsa Desempenho, paga atualmente a todos os professores da ativa, também fica incorporada ao vencimento do Grupo Ocupacional do Magistério, no percentual de 20% do valor pago em janeiro de 2022 à categoria.

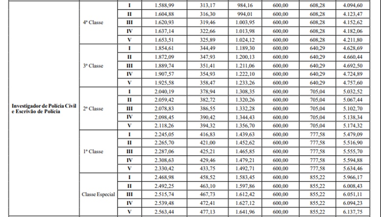
Segurança pública
Já na segurança pública o aumento é de acordo com o posto de graduação. O Estado fica autorizado, por meio de sua Procuradoria, a fazer um acordo judicial com o sindicato da categoria para incorporação dos 60% restantes. A incorporação da Bolsa Desempenho será implantada no mês de junho deste ano. Confira:







